신입사원이 처음 회사에 출근해서 업무에 들어섰을 때를 상상해 봅시다.
그런데... 영업업무를 보게 되는 순간 자주 들리는 단어가 있습니다.
바로.. "신장율"
팀 회의시간에.... 긴장한 신입사원에게 팀장이 이러한 질문을 하면 어떻게 될까요??
「팀장: 이번 달 전년비 신장률이 어떻게 되지???」
아마 이런 질문을 바로 윗 선임도 아닌 팀장급 이상에게 받는다면.. 크게 당황할 것입니다.
저역시도 그러했었는데요..
신장 = 키??? 뭐지????
머릿속에서 차바퀴가 뺑글뺑글 돌고 있는 상황이 와서 아무 말 못 해서 더 혼났던 기억이 있었습니다.
이번 Talk & Talk에서는 신장률에 대해 이야기해보려고 합니다.

영업에서 사용하는 신장률은 한자로 "伸張率"을 말합니다. 펼 신, 벌릴 장, 비율률(율)
즉, 세력이나 규모 따위를 이전보다 늘리거나 커지게 한 비율을 말합니다.
위 팀장의 질문은 작년보다 올해 매출 성장이 얼마나 되었는지를 퍼센트 비율(%)로 알려 달라는 이야기가 되는
것이지요.
예를 들어 작년 1월 매출이 12억이었다고 하고, 금년 1월 매출이 15억이라고 하면...
작년보다 3억이라는 매출 수익이 더 생겼음을 알 수 있습니다.
이것을 확률로 바꾸면... 바로 매출 신장률인 것이죠. 다른 말로 매출 성장률 이라고도 합니다.
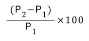
확률 계산법은
수익률 구하는 공식은 :
![]() |
P1 : 과거, P2 : 현재 로 보면 됩니다.
즉, 기준을 전년(P1)으로 보고 비교를 금년(P2)으로 놓고 계산하면 됩니다.
위 예로 계산해보면 (금년 15억-전년 12억)/전년 12억 *100 = 25%
팀장님에게 드려야 할 답은 "매출 신장 25% 하였습니다."
그렇다면 역신장은 무엇을 의미할까요??
네.. 바로 마이너스 성장을 말합니다.
작년 대비 수익이 줄었을 경우를 매출 역신장, 혹은 매출 역성장이라고 말할 수 있습니다.
영업관리를 하다 보면 역신장을 하는 경우가 종종 있습니다. 꼭 신장만 할 수는 없으니까요..
하지만.. 회사라는 곳이... 역신장이 나왔을 때는 호되게 혼내고... 신장이 되었을 땐 칭찬에 인색합니다..
사무환경에서 마이크로소프트의 엑셀을 이용해서 영업관리를 많이 하게 되는데요..
매출 기준과 전년 기준을 항상 기록해두시고, 신장률과 역 신장률을 미리 해놓고 드래그 하면 업무에 도움이 될 것입니다.

엑셀 서식처럼 (D3(비교 연도)-D2(기준연도))/D2(기준연도)*100으로 계산하면 신장률이 나오게 되는 거죠..
신장률 앞에 목표가 있다는 건 자신이 영업으로 얼마만큼을 달성하겠다는 이야기입니다.
다음 포스팅에서는 달성률에 대해 이야기해보겠습니다.
'영업에 필요한 엑셀과 PC 생활' 카테고리의 다른 글
| 업무 속도를 빠르게 해주는 윈도우 특수문자 단축키 소개 (0) | 2022.02.08 |
|---|---|
| 엑셀 방향키 이용 셀 이동이 안될 때 해결 팁 (0) | 2022.01.26 |
| 임대 공실률 계산 방법을 알아보자. (0) | 2021.08.09 |
| 온라인 PDF 변환 대표 사이트 TOP 3 (1) | 2021.05.09 |
| 영업에서 자주 사용하는 달성율 계산법 알아보기 (0) | 2021.01.27 |






